ch01 向量引论
介绍两个重要的计算:
, 两个向量的加法. , 数字与向量相乘, 又称为数乘.- 结合两个运算就有:
, 将其称为向量 与 的线性组合.
能否生成这个四维空间? 结论不一定成立 (什么样的可以生成整个空间算是后面套讨论的内容).
本书的主要思路:
- 从基本的二维, 三维出发, 直观的展现线性代数的主要内容.
- 然后将其对广到抽象的
维空间中.
下面是本章的三个基本概念:
- 向量的和, 与线性组合.
- 两个向量的点积, 与向量的长度
. - 矩阵
, 线性方程组: , 以及线性方程组的解: .
1.1 向量与线性组合
两个单独的数字
书中采用列向量的形式书写:
向量的加法: 对应分量相加, 得到一个新向量.
向量的减法:
标量乘法, 又称为数乘. 将一个数字与向量相乘, 就是将这个数字与每一个分量相乘, 得到一个新向量.
其中数字
零向量, 记为
线性代数就是建立在向量的加法与标量乘法的基础上的.
线性组合
线性组合就是将向量进行标量乘法, 然后将其结果求和. 例如:
几个特殊的线性组合:
. 表示向量 与向量 的和. . 表示向量 与向量 的差. . 表示零向量. 实际上零向量可以写成任意个向量的线性组合, 系数都为 即可. . 表示与 共线的向量.
然后书中介绍了二维向量的几何表示法 (自由向量).
几何上自由向量值关注向量本身的特征与具体位置无关, 自由向量相对于固定向量.
下图描述了向量加法与减法的含义:

三维向量
借助于二维向量, 用三个分量 (标量) 构成一个三维向量. 然后介绍了列向量的表示, 以及几何含义.
本书中有一个重要的预设:
- 向量使用方括号来描述.
- 列向量为了节省排版空间, 会写成行的形式, 但是使用圆括号. 本质上是列向量.
所以:
所谓转置就是行列互换.
然后引入了三维向量的线性组合. 依旧是向量的数乘再求和.
几个重要问题
设有向量
- 形如
的全体线性组合是什么图形? - 形如
的全体线性组合是什么图形? - 形如
的全体线性组合是什么图形?
实际上结果与三个向量
至于三个向量的不同关系的不同结果就与本课程的内容有关系了.
一个典型的结果是, 一条直线, 一个二维平面, 整个三维空间 (条线是三个向量线性无关).
要点回顾
- 二维空间中的向量有两个分量. 推广一下,
维空间中的向量有 个分量. - 向量的和, 与向量的数乘都是对向量的分量进行依次计算.
- 三个向量的线性组合表示:
. - 三个向量的线性组合的几何含义: 直线, 平面, 空间.
范例解析
习题
1.2 长度与点积
主要内容:
- 向量的点积就是将各个分量对应相乘, 再求代数和.
- 点积为 0 的两个向量互相垂直.
- 向量与自己的点积的结果是向量长度的平方.
- 将向量
的长度记为: . - 向量
与 夹角 的余弦值为: - 由于
, 所以对任意的 , 一定有: .
本章内容与几何具有密切联系 (主要是向量的长度, 与向量的夹角的余弦值).
内积 (点积) 的定义:
示例
- 给出一个示例, 进行计算. 并通过案例介绍了互相垂直的向量, 点积为
. - 介绍了一个工程与科学的示例, 介绍了力矩的概念 (质量与坐标的乘积). 使用向量
表示质量, 使用 表示坐标, 保持平衡的条件是 . - 让后给出一个商业示例, 利用向量类求解利润. 用向量
表示商品的单价 (分量表示不同商品的单价), 使用 表示商品数量 (分量表示不同商品的数量, 正负表示卖出和买入). 使用点积 表示收支. 作者还表示可以使用 Excel 来完成这个计算 (商业中 Excel 的适用很普遍).
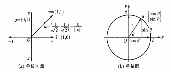
长度与单位向量
向量
然后利用图像和勾股定理进行了解释与证明.

单位向量: 长度为
将与
在
注意它是列向量.
- 当
时, 就是 . - 当
时, 就是 . - 显然
.

对任意的非零向量, 除以自身长度得到与当前向量方向相同的单位向量.
两个向量的夹角
点积为
零向量与任意向量都垂直.
两个单位向量
下图是证明图解, 其中会涉及到三角函数公式. 细节略.

那么对与非单位向量怎么办? 向量除以自己的长度, 即得到单位向量, 那么有: 对与任意的向量
考虑到
全称是: 柯西-施瓦茨-布尼亚科夫斯基 (Cauchy-Schwarz-Buniakowsky) 不等式
三角不等式:
示例:
- 给出两个具体的向量, 计算两个向量夹角的余弦值.
- 利用施瓦茨不等式推导出 几何平均数 不大于 算数平均数.
关于计算机代数计算
Mathlab, Python, Julia 等都具备直接对向量分量计算的处理. 以 Matlab 为例:
- 输入
'可以实现转置. - 输入分号, 表示结束, 开始计算.
- 直接输入表达式, 直接对向量分量进行计算.
v = [2 3 4]'; w = [1 1 1]'; u = 2 * v + 3 * w;
书写上两个向量的内积可以写成一个行向量左乘一个列向量来表示. 例如
或写成 v' * v.
Matlab 中计算向量长度使用 norm(v), 也就是 sqrt(v' * v).
利用反三角函数 acos 可以利用向量求夹角:
cosine = v' * w / (norm(v) * norm(w))
angle = acos(cosine)
可以创建 M 文件, 将函数定义其中使用.
python 应该是基于 Numpy, Julia 暂时不清楚.
要点回顾
- 点积的计算方法.
- 获得单位向量, 以及向量长度的计算方法.
- 向量垂直的判断.
- 向量夹角的余弦值的计算方法, 以及施瓦茨不等式.
范例解析
习题
1.3 矩阵
主要内容
- 通常矩阵是一个
行, 列的数字阵列, 表示上用方括号括起来. 是矩阵 和列向量 的一个线性组合.- 矩阵乘法的表示.
- 线性方程组的矩阵表示.
有解的条件.
本书中引入矩阵的方式比较特殊, 同时对矩阵乘法的引入也比较自然.
首先定义三个向量:
矩阵
而三个向量的一个线性组合:
该线性组合可以看成矩阵
形式上定义了矩阵乘法的规则: 左矩阵第
行的元素, 与右矩阵的第 列的元素, 依次相乘的代数和, 作为新矩阵的第 行, 第 列的元素.
所以 矩阵
由于
由此可以构造一个
Matlab 的一个 demo:
>> A = [1 0 0 0; -1 1 0 0; 0 -1 1 0; 0 0 -1 1]; >> A * [1, 2, 3, 4]' > ans = 1 1 1 1 >>
另一个观点: 将
线性方程组
上面的问题是给定
将问题调整一下, 给定向量
一般情况下线性方程组是比较难解的. 但是本例是一个特殊的三角形矩阵 (下三角形矩阵), 利用带入法, 从上之下可以依次解出来.
同时本例中的矩阵
至于怎么判断矩阵可逆, 以及怎么求逆矩阵. 暂时云中雾里.
逆矩阵
此处的一个结论: 如果
至于怎么解, 这些结论什么的, 似乎暂时没有头绪. 但是这里案例说明
- 每一个向量
, 线性方程组 都存在一个解. - 利用矩阵
可以得到 .
微积分注解
这里比较迷惑. 是一个类比吗? 或者是通过类比得到一个猜测?
可以将这些特殊的矩阵 (差分矩阵, 累加矩阵) 与微积分建立联系:
- 将向量
看成一个函数 . 差分 变成导数 . - 反过来,
中的累加就变成了对 的积分.
差分的和与导数的积分类似. 积分是微分的逆.
但这个例子又给出结论差分不能等同于导数. 然后引出向前差分与向后差分:
- 向前差分:
- 向后差分:
最后得到中心差分:
书中提到在微积分中 中心差分不常见, 但这里巧合适用. 也许在数值计算中这个方法比较合适.
循环差分
书中说这里要介绍的是不可逆矩阵. 也许上面的差分也好, 中心差分也好, 只是为了说明逆矩阵可以计算线性方程组的解. 而这个类比也许只是一个开阔视野的联想.
使用三个新的向量 (更新
来构造循环差分矩阵
当
等式左边分量和为
几何上
线性无关与线性相关
最后得到结论, 关键点是三个向量是否在一个平面内.
- 线性无关.
不在 与 生成的平面内. - 线性相关.
在 与 生成的平面内.
线性相关的另一个结论:
下面是线性代数的一个重要概念:
- 向量
线性无关. 除了 外, 没有任何其他线性组合可以生成零向量 . - 向量
线性相关. 还有其他线性组合可以得到 , 例如: .
用矩阵的语言来描述:
的列向量线性无关: 有唯一解, 是可逆矩阵. 的列向量线性相关: 有无穷多解, 是奇异矩阵.
若
阶方阵的行列式为 0, 则该矩阵为奇异矩阵. 其特征:
- 不可逆. 非奇异矩阵 (行列式
) 一定可逆. - 秩小于
. 非奇异矩阵是满秩的. - 线性方程组无解或无穷多解.
要点回顾
- 矩阵左乘向量得到线性组合.
- 矩阵
可逆, 则 的解是 . - 循环矩阵
没有逆矩阵, 它的三个列向量在同一个平面内. 这些列向量之和为 零向量, 从而 有无穷多解.